
이전 Mplus 포스팅에서 구조방정식에 관한 내용을 올려두었는데, 생각해보니 구조방정식에 대한syntax를 설명하기 전에 경로모형을 다뤘어야 함을 느꼈다. 경로모형이란 “구조방정식에서 잠재변수끼리의 구조모형 부분만을 추출해서 관찰변수를 이용해 그 관계를 연구하는 모형”이다(김수영, 2016). 즉, 잠재변수가 아닌 관찰변수만으로 변수 간의 관계를 추정하기 때문에 측정오차에 대한 가정이 존재하지 않아 현실적으로는 말이 되지 않는 모형이지만(피실험자의 우울을 검사를 통해 100% 완벽하게 측정한다는 것은 거의 불가능에 가깝다) 그럼에도 불구하고 논문에서 종종 경로모형으로 분석을 돌린 것을 볼 수 있으며, 구조방정식의 기초개념을 이해하는데 도움이 되기 때문에 경로모형에 대해서도 알 필요가 있다.
*해당 포스팅은 Mplus의 User’s Guide에 올라온 예제를 예시로 설명하였다.
☞ Mplus User's Guide: https://www.statmodel.com/ugexcerpts.shtml
TITLE: this is an example of a path analysis
with continuous dependent variables
DATA: FILE IS ex3.11.dat;
VARIABLE: NAMES ARE y1-y3 x1-x3;
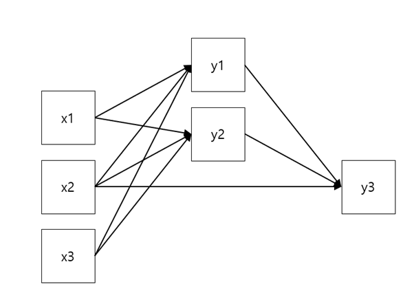
MODEL: y1 y2 ON x1 x2 x3;
y3 ON y1 y2 x2;
먼저 첫 번째 예시는 title에서와 같이 종속변수가 연속변수로 구성된 경로분석이다. 해당 분석에서 사용할 ex3.11.dat파일의 변수명은 차례대로 y1, y2, y3, x1, x2, x3로 구성되어 있으며 MODEL 부분에 경로모형을 설정해주고 있다. 여기서 ON은 regressed on을 축약한 명령어로 회귀분석 관계를 정의할 때 사용한다. 여기서는 x1, x2, x3가 종속변수 y1, y2에 화살표를 쏘고, y1, y2, x2가 종속변수 y3에 화살표를 쏘는 모델로 설정되어 있음을 알 수 있다. 이를 그림으로 도식화하면 다음과 같다.

위의 설명에서는 x1~x3와 y1, y2의 관계에서 y1과 y2를 종속변수, y1~y3의 관계에서 y1과 y2는 독립변수, y3는 종속변수라는 식으로 설명하였는데 엄밀히 말하면 여기서는 외생변수(exogenous variable)와 내생변수(endogenous variable)로 설명을 해야 한다. 외생변수란 어떤 변수를 설명만 할 뿐, 다른 변수에 의해서 설명되지 않는 변수인 반면 내생변수는 어떤 변수를 설명하든지 아니든지 상관없이 다른 변수에 의해서 설명을 받는 변수다(김수영, 2016). 따라서 여기서 x1~x3는 외생변수이며 y1~y3는 내생변수에 해당한다. 즉 내생변수는 종속변수와 독립변수의 역할을 동시에 할 수도 있다.
다시 Mplus code로 돌아와 모델의 분석결과를 살펴볼 필요가 있다. 모델을 돌리면 먼저 다음과 같은 결과가 나온다.

분석 데이터에 N값은 500임을 알 수 있고(number of observations), 해당 모형의 종속변수와 독립변수(엄밀히 말하자면 내생변수와 외생변수)는 모두 3개임을 알 수 있다.

그 밑에는 위의 사진과 같이 변수들에 대한 기초통계값들이 제시된다.
그리고 그 아래 중요한 분석모형에 대한 정보가 나오는데, 사진과 같이 모형이 제대로 돌아갔음을 알리는 ‘THE MODEL ESTIMATION TERMINATED NORMALLY’라는 문구가 떠야 한다.

그 아래는 모형의 평가를 위한 각종 지수들이 나오는데 대표적으로 많이 쓰이는 AIC, BIC, aBIC, 카이스퀘어값, RMSEA, CFI/TLI 값이 제시되어 있다.
그리고 그 아래에는 모형에서의 경로계수를 추정한 값들과 p-value가 제시되어 있다. 이에 대한 해석은 일반 회귀분석 해석 방법과 동일하게 해주면 된다.

'통계공부 > Mplus' 카테고리의 다른 글
| [Mplus] 비연속시간 생존분석 syntax 설명 (0) | 2020.09.29 |
|---|---|
| [Mplus] 잠재성장계층분석(LCGA) syntax 설명 (6) | 2020.09.26 |
| [Mplus] 회귀분석 syntax 설명 (1) | 2020.09.22 |
| [Mplus] 잠재계층분석(LCA)/잠재프로파일분석(LPA) syntax 설명 (6) | 2020.04.20 |
| [Mplus] 잠재성장모형(LGM) syntax 설명 (1) | 2020.04.09 |