
이번 포스팅에서는 구조방정식(Structural Equation Modeling; SEM)의 Mplus syntax를 설명하고자 한다. Mplus 기본 신텍스에 대한 설명은 이전 포스팅에서 했으며, 오늘 사용할 예제 역시 이전 포스팅과 마찬가지로 Mplus의 User's Guide 예시를 사용하였다.
먼저 구조방정식의 Mplus syntax를 소개하기 전, 구조방정식 모형에 대한 Anderson & Gerbing(1988)의 2단계 접근법에 대해 언급하고자 한다. Anderson & Gerbing(1988)의 2단계 접근법은 구조방정식 모형을 추정함에 있어, 먼저 측정모형을 확인한 후 그 다음으로 2단계에서 구조방정식 모형을 추정함을 제안하고 있다. 즉, Mplus에서 구조방정식 모형을 돌리기 위해서는 2단계 절차를 따라야 함을 의미한다. 첫 번째 단계는 연구모형의 일부를 확인적 요인 분석(Confirmatory Factor Analysis; CFA)을 통해 모형이 적합한지 확인하는 절차이다. 이 단계에서 모형의 적합도가 만족되어야 다음 두 번째 단계로 넘어갈 수 있다. 두 번째 단계는 연구모형 전체, 즉 구조방정식 모형을 돌리는 절차로 모형의 적합도를 확인하고 모수 추정치를 해석하면 된다. 구조방정식 모형을 돌릴 때 하는 흔한 실수 중 하나가 바로 2단계 절차를 따르지 않고 바로 연구모형 전체를 돌려버리는 경우이다. 만약 연구자가 구조방정식을 통한 분석을 진행한다면, 귀찮더라도 반드시 먼저 확인적 요인 분석을 실시한 후 구조방정식 모형을 돌려야 함을 유의해야 할 것이다. 그렇다면 Anderson & Gerbing(1988)의 2단계 접근법에 따라 Mplus syntax를 알아보도록 하자.
TITLE: This is an example of a SEM with continuous factor indicators
DATA: FILE IS ex5.11.dat;
VARIABLE: NAMES ARE y1-y12;
MODEL: f1 BY y1-y3;
f2 BY y4-y6;
f3 BY y7-y9;
f4 BY y10-y12;
f4 ON f3;
f3 ON f1 f2;
먼저 예시를 보면 ANALYSIS가 빠져있음을 알 수 있는데, 이렇게 ANALYSIS를 생략하면 mplus가 알아서 구조방정식에 적합한 default 값에 따라 분석을 진행해준다.
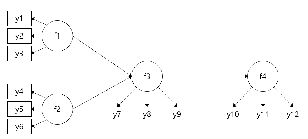
그리고 중요한 MODEL 부분을 살펴보면 첫 번째 줄(f1 BY y1-y3;)부터 네 번째 줄(f4 BY y10-y12;)까지는 확인적 요인분석에 해당하는 부분으로, 잠재변수가 측정변수에 의해 어떻게 설명되는가를 코드로 적어놓은 부분이다. 다시 말해 f1이라는 잠재변수는 측정변수 y1-y3, 잠재변수 f2는 측정변수 y4-y6, 잠재변수 f3은 측정변수 y7-y9, 잠재변수 f4는 측정변수 y10-y12에 의해 설명되는 것이다.
그 다음으로 다섯번째, 여섯번째 줄은 경로분석에 해당하는 부분으로 잠재변수들의 관계가 어떻게 설정되었는지를 설명하는 부분이다. 여기서 ON이라는 코드가 사용되었는데, Mplus에서 ON은 regressed on의 줄임표시이다. 즉, 여기서의 ON은 경로모형에 있어 화살표와 동일하다.
이 여섯줄의 코드를 모두 정리하여 그림으로 표현하면 다음과 같다.

물론 앞선 설명에서와 같이 해당 코드를 바로 돌리면 안 되고 2단계에 걸쳐 분석을 진행해야 한다. 즉, 첫 단계에서는
TITLE: This is an example of a SEM with continuous factor indicators
DATA: FILE IS ex5.11.dat;
VARIABLE: NAMES ARE y1-y12;
MODEL: f1 BY y1-y3;
f2 BY y4-y6;
f3 BY y7-y9;
f4 BY y10-y12;
위의 코드를 돌려 측정모형의 적합도 지수를 확인해야 한다. 모형의 적합도는 카이제곱 검정과 RMSEA(Root Mean Square Residual), CFI(Comparative Fit Index), TLI(Tucker-Lewis Index) 등의 지수를 활용한다. 이 때 카이제곱 검정은 일반적으로 N이 크면 기각되는 경우가 많아 보조적인 자료로만 활용되는 편이다(Kline, 2005). 그리고 일반적으로 RMSEA는 .05이하, TLI와 CFI는 .95이상일 때 모형 적합도가 좋다고 본다(Hu & Bentler, 1999)
Hu, L. T., & Bentler, P. M. (1999). Cutoff criteria for fit indexes in covariance structure analysis: Conventional criteria versus new alternatives. Structural equation modeling: a multidisciplinary journal, 6(1), 1-55.
Kline, R.B. (2005). Principles and Practice of Structural Equation Modeling (2nd Edition ed.). New York: The Guilford Press.
위의 모형에서 모형적합도가 적절하게 나온 경우, 이제 전체 코드를 돌려주면 된다.
TITLE: This is an example of a SEM with continuous factor indicators
DATA: FILE IS ex5.11.dat;
VARIABLE: NAMES ARE y1-y12;
MODEL: f1 BY y1-y3;
f2 BY y4-y6;
f3 BY y7-y9;
f4 BY y10-y12;
f4 ON f3;
f3 ON f1 f2;
'통계공부 > Mplus' 카테고리의 다른 글
| [Mplus] 잠재계층분석(LCA)/잠재프로파일분석(LPA) syntax 설명 (6) | 2020.04.20 |
|---|---|
| [Mplus] 잠재성장모형(LGM) syntax 설명 (1) | 2020.04.09 |
| [Mplus] 탐색적, 확인적 요인분석(EFA, CFA) syntax 설명 (3) | 2020.03.16 |
| [Mplus] Mplus 신텍스 기본 설명 (2) | 2020.03.11 |
| [Mplus] 프로그램 소개 (5) | 2020.03.06 |